成都格利普生物科技公司新品发布
2022/6/13 17:09:57 来源:千虹医药网 |
依据中国药典2020版,我司成功从柚皮中研发出柚皮素新品;从柳树中研发出臭矢菜素A新品;从远志中研发出细叶远志皂苷新品;从苍术中研发出苍术素新品,从大豆中研发出黄豆黄苷新品。每个产品在CNAS实验室体系下严格检测,质量保证,现货供应,库存充足,HPLC≥98%,提供液相图谱、核磁图谱,可按照需求包装定制,欢迎新老顾客前来咨询!
新品详情New
柚皮素

产品介绍
【产品名】 柚皮素
【英文名】 Naringenin
【分子式】 C15H12O5
【分子量】 272.25
【CAS号】 480-41-1
【化合物类型】二氢黄酮类
结构式
臭矢菜素A

产品介绍
【产品名】 臭矢菜素A
【英文名】 Cleomiscosin A
【分子式】 C20H18O8
【分子量】 386.4
【CAS号】 76948-72-6
【化合物类型】木脂素类
结构式
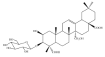
细叶远志皂苷

产品介绍
【产品名】 细叶远志皂苷
【英文名】 Tenuifolin
【分子式】 C36H56O12
【分子量】 680.83
【CAS号】 20183-47-5
【化合物类型】三萜类
结构式
苍术素

产品介绍
【产品名】 苍术素
【英文名】 Atractylodin
【分子式】 C13H10O
【分子量】 182.22
【CAS号】 55290-63-6
【化合物类型】炔类
结构式
黄豆黄苷

产品介绍
【产品名】 黄豆黄苷
【英文名】 Glycitin
【分子式】 C22H22O10
【分子量】 446.40
【CAS号】 40246-10-4
【化合物类型】异黄酮类
结构式
|
|
|
【千虹医药招商网】
为医药界提供医药招商、医药代理、药品招商、医药原料采购供应的网络平台